KÜTAHYA ÇAVDARHİSAR ORTA ÖLÇEKLİ SANAYİ ALANINDA YER ALAN J-23-D-07-B-3-A, J-23-D-07-B-3-B, J-23-D-07-B-3-C, J-23-D-07-B-3-D, J-23-D-07-C-1-B, J-23-D-07-C-1-C, J-23-D-07-C-2-A, J-23-D-07-C-2-B, J-23-D-07-C-2-D, J-23-D-08-A-4-D ve J-23-D-08-D-1-A PAFTALARINDA İMAR UYGULAMA PLANI

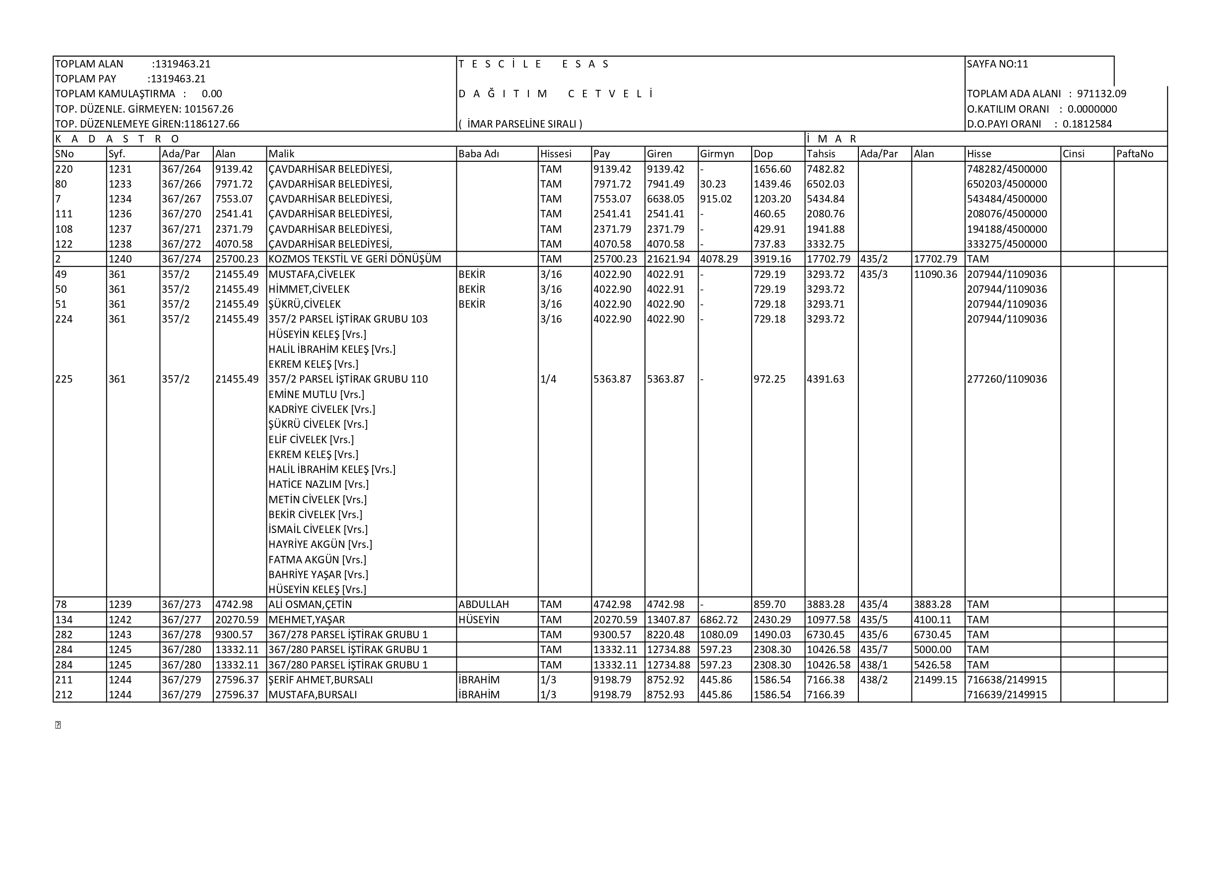
Belediye Encümeninin 12/01/2026 Tarih ve 4 Sayılı Kararı ile İlçemiz orta ölçekli sanayi ayanında yer alan J-23-D-07-B-3-A, J-23-D-07-B-3-B, J-23-D-07-B-3-C,  J-23-D-07-B-3-D, J-23-D-07-C-1-B, J-23-D-07-C-1-C, J-23-D-07-C-2-A, J-23-D-07-C-2-B, J-23-D-07-C-2-D, J-23-D-08-A-4-D ve J-23-D-08-D-1-A  patfalarının tamamını kapsayacak şekilde 3194 Sayılı İmar Kanununun 18. Maddesine göre imar uygulanması onaylanmış olup uygulama ile ilgili uygulama sınır krokisi, ada dağıtım cetvelleri, parselasyon krokileri, düzenleme ortaklık payı hesabı ve diğer evraklar 15/01/2026 tarihinde askıya çıkartılmıştır.